Análisis Granulométrico por Sedimentación (Hidrometría) – Excel

¡Saludos! colegas que visitan La Librería del Ingeniero, en esta ocasión le presentamos la práctica de laboratorio donde se determina la distribución granulométrica de las partículas inferiores a 0,075 mm en una masa del suelo.
El hidrómetro es usado para determinar el porcentaje de partículas de suelo dispersadas que permanezcan en suspensión en un tiempo dado.
Se aplica a suelos cuyas partículas sean menores a 2mm (tamiz Nº 10) incluye las arenas finas, limos y arcillas.
Método del Hidrómetro
Se basa en la Ley de Stoke, donde se relaciona la velocidad de sedimentación de partícula en el seno de un fluido y el tamaño de dicha partícula.
Stoke, obtuvo una relación aplicable a una esfera que se sedimenta libremente en el fluido.
V = Velocidad de sedimentación de la esfera.
γs = Peso específico de la esfera.
γf = Peso específico del fluido. (agua)
η= Viscosidad del fluido.
D = Diámetro de la esfera.
Despejando se obtiene:
donde:
L= Profundidad de inmersión efectiva del hidrómetro (cm).
t= tiempo transcurrido en minutos.
Además, como se obtiene de lo anterior:
donde:
La viscosidad del fluido (η), que es dependiente de la temperatura del ensayo, tiene unidades de (dinas.s)/cm2, «γw» (g/cm3), «L» (cm), «t» (min). Por lo tanto, se quiere expresar el diámetro de la partícula (D) en mm:
donde:
D = máximo diámetro de grano en milímetros.
h = coeficiente de viscosidad (en este caso es agua) se expresa es poises (g.s/cm2), y el coeficiente de viscosidad a 20 ºC es igual a 0,01002 poises.
L = distancia en cm.
t = Tiempo en minutos, período de sedimentación.
Gs = Peso específico del sólido.
γw = peso unitario del agua (es aproximadamente 1 g/cm3 para el agua)
K = coeficiente que es función de Peso específico relativo de los sólidos (Gs) y de la viscosidad del fluido (h).
Prueba del Hidrómetro en el Laboratorio
Se utiliza para partículas pasantes por el tamiz con abertura de 2mm (Nº 10) incluye arenas medias y finas, limos y arcillas, pero la mayoría de veces se utiliza para determinar el porcentaje de los finos (limos y arcillas).
Materiales
- Hidrómetro tipo 152H
- 50gr de suelo seco
- Cilindro de sedimentación (457 mm de altura y 63,5 mm de diámetro, volumen de 1000ml)
- Agente dispersor (se utiliza el hexametafosfato de sodio).
Los hidrómetros son calibrados para suelos con peso específico relativo Gs de 2,65; para suelos con otro peso específico del sólido es necesario hacer correcciones.
El ensayo consiste en colocar 50gr de suelo fino y seco dentro de un cilindro de sedimentación, para ello se coloca el suelo con agua destilada en una batidora se le agrega el agente dispersor hexametafosfato de sodio (6,6gr) para evitar la floculación, se coloca en el cilindro de sedimentación y el volumen de la suspensión del suelo dispersado se lleva hasta 1000 ml añadiendo agua destilada.
Cuando el hidrómetro se coloca en la suspensión del suelo, en un tiempo «t», que se mide en intervalos desde el principio de la sedimentación, mide es la densidad del sólido en la vecindad de su bulbo a una profundidad L.
La densidad de sólidos es una función de la cantidad de partículas de suelos presente por volumen unitario de suspensión en esa profundidad. En un tiempo t, las partículas de suelo en suspensión a una profundidad L tendrán un diámetro menor que D, calculado según la ecuación.
Las partículas más grandes se habrán asentado más allá de la zona de medición. Los hidrómetros son calibrados para dar la cantidad de suelo, en gramos, aún en suspensión.
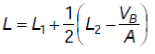
Definición de «L» en la Prueba de Laboratorio
Tenemos que «L» es la profundidad medida desde la superficie del agua hasta el centro de gravedad del bulbo del hidrómetro donde se mide la densidad de suspensión, y se calcula por medio de la expresión:
donde:
L = profundidad efectiva del hidrómetro en centímetros.
L1 = distancia medida a lo largo del vástago del hidrómetro desde el tope del bulbo hasta la marca de la lectura correspondiente, en centímetros.
L2 = largo total del bulbo del hidrómetro, en centímetros.
VB = volumen del bulbo del hidrómetro en centímetros cúbicos.
A = área de la sección transversal del cilindro de sedimentación, en centímetros cuadrados.
Para el hidrómetro 152H:
L2 =14,0 cm
VB = 67,0 cm³
A = 27,8 cm²
L1 = 10,5 cm para la lectura de Rm =0,0 g/l.
L1 = 2,3 cm para la lectura de Rm =50,0 g/l.
Rm = Lectura del hidrómetro corregida por menisco. Rm= R’H+cm
R’H = Lectura del hidrómetro real.
Posteriormente, se calcula el porcentaje (%) del suelo en suspensión (%más fino) en el instante t (tiempo) por la siguiente expresión para el hidrómetro 152H:
WD1 = Porcentaje del suelo en suspensión.
RHC = Lectura de hidrómetro corregida por defloculante y temperatura.
a = constante que depende de la densidad de la suspensión, es función de Gs y se calcula con la expresión:
Se calcula el porcentaje pasante (% que pasa):
El porcentaje de limos y arcillas se calcula por las expresiones:
Correcciones del Hidrómetro
» Corrección por Menisco (Cm): Se coloca el hidrómetro en el cilindro graduado lleno de agua destilada hasta la marca de 1000ml, y obsérvese la diferencia de nivel entre la superficie del agua y el tope del menisco.
La corrección por menisco es de aproximadamente 1 unidad.
» Corrección por Defloculante (Cd): Los suelos finos en suspensión forman flóculos (grumos), por adhesión entre partículas, el agente dispersante tiende a neutralizar la suspensión evitando la floculación. El agente dispersante a usar es el hexametafosfato de sodio (NaPO3).
Se determina preparando una solución de 1000ml en el cilindro graduado con la cantidad de agente dispersante a ser usada, luego se inserta el hidrómetro y se observa la lectura.
» Corrección por Temperatura (Ct): La viscosidad y el peso específico del agua destilada y el volumen del hidrómetro varía con la temperatura. La corrección por temperatura Ct se realiza para el cálculo del porcentaje del suelo en suspensión a las lecturas del hidrómetro.
En conclusión, en el laboratorio el ensayo del hidrómetro se lleva a cabo de la siguiente manera:
– Se pesa el suelo seco (50gr)
– Se pesa el defloculante (6,6 gr)
– Se toma la corrección por menisco y defloculante.
– Se mezcla el suelo más defloculante más agua destilada en la licuadora.
– Se coloca la muestra en el cilindro graduado y se llena con agua destilada hasta 1000ml.
– Se agita con el batidor manual.
– Se pone en marcha el cronometro, se toman las medidas con el hidrómetro y se toma la temperatura.
– El tiempo aproximado es de 1, 2, 4, 8, 15, 30, 60, 250, 430, 1440 minutos. Sumergiendo el hidrómetro 20 segundos antes de cada lectura.
Se puede descargar la teoria del ensayo de hidrometria